BLOG MENU:


Papez, 30 anni
spritzina di Padova
CHE FACCIO? Penso!!!
Sono middle

utente certificato [ SONO OFFLINE ]
[ PROFILONE ]
[ SCRIVIMI ]


STO LEGGENDO

..mmmh..il catalogo Ikea.. ahahah!!! dicono ke al mondo ci siano più famiglie col catalogo Ikea rispetto alla Bibbia.. la mia è una di quelle!!!

HO VISTO

ho visto tante cose... ma non ho mai visto una foglia mentre si stacca dall’albero..

STO ASCOLTANDO

il poddinooo!!!


ABBIGLIAMENTO del GIORNO

ma devo scrivere come sono vestita adesso??? in questo momento???..in pigiama..ma mica sempre, eh..quasi..!!!

ORA VORREI TANTO...

liberare la mente! pufff!!!

STO STUDIANDO...

come calcolare il tasso di varazione del volume di una sfera quando il raggio è pari a 5 cm... sempre unicamente calorosamente mate!!!

OGGI IL MIO UMORE E'...



ORA VORREI TANTO...



ORA VORREI TANTO...



ORA VORREI TANTO...







PARANOIE


1) Cazzeggiare in aulastudio x tutto il giorno, xké non ci si riesce a concentrare, e quando manca mezz\'ora ad andare via, iniziare a macinare pagine su pagine (della serie: "a sto punto arrivo alle 19")
2) ...dormire con una persona che russa...
3) essere scoperto mentre guardo questo sito peccaminoso dall\'università

4) dimagrire 1 kilo in 5 mesi e poi ingrassare 5 kili in un mese...
5) fare pipi\' e contemporaneamente tenere chiusa la porta che non si chiude ed è lontana di un bagno pubblico
6) Essere in largo anticipo x un appuntamento,prendere la macchina e xcorrere la via + lunga x far passare il tempo,trovare traffico...e arrivare in ritardo!!!
7) pensare di essere un tipo normale e per caso fare un colloquio con uno psicologo che afferma di trovarsi di fronte ad un tipo skizzato e socialmente pericoloso. molto autobiografico..

MERAVIGLIE


1) Ascoltare a palla una canzone dei Subsonica
2) la schiumetta sopra il cappucino o sopra il caffe'!!
'na meraviglia di bonta'!!
3) Prato dellaValle,di notte,illuminato...da restare senza fiato!
4) Le Coccole
5) Finire tutti gli esami dopo anni e anni e anni di università!!
6) Il tramezzo riscaldato del nazionale....ahhhh!!!!
7) ...Trovare il semaforo verde alla Stanga


..PENSIERI IN EVOLUZIONE..
PaPe ToRnA tRa NoI!!!





(questo BLOG è stato visitato 22330 volte)
ULTIMI 10 VISITATORI: ospite, ospite, ospite, ospite, ospite, ospite, ospite, ospite, ospite, ospite
[ ELENCO ULTIMI COMMENTI RICEVUTI ]





domenica 13 aprile 2008 - ore 22:37


FINE PRIMA GIORNATA... UAAAH!!!
(categoria: " Vita Quotidiana ")


appena tornata dai seggi... da noi ha votato il 69,7% oggi!!! pazzesco.. tantissima gente!!!
sono incazzata nera con bagigio che aveva detto di non poter venire alle otto perchè doveva dormire.. e invece si è lasciato sfuggire che alle 8 è andato a votare! ma vvvafffanculo!!!
mentre caso umano l’abbiamo praticamente eliminato: ci siamo tacitamente offerti di fargli avere lo stipendio anche facendolo lavorare 5 ore su 14, pur di non averlo tra i piedi... è allucinante! rallenta tutto e si mette a dire alle signore "aaah! lei è vedova!" nononono!!!
le scene più eclatanti sono state:
- il ragazzino che vota per la prima volta, che invece di andare dietro la cabina si è appoggiato per fuori in verticale per fare le croci
- il bambino che avendo visto suo papà depositare il cellulare.. voleva depositarci il suo chupa chups
- l’urlo disumano proveniente da una cabina: "ho sbagliato a votareeeee"
va bin... io sono morta e domani schiatterò sulle urne... zzz...

ps: il presidente ha già progettato spritz+torta dopo lo scrutinio!!!


LEGGI I COMMENTI (5) - PERMALINK



domenica 13 aprile 2008 - ore 13:01


PAUSA PRANZO
(categoria: " Vita Quotidiana ")


...zzz...
baldoria ieri sera.. sveglia alle 7:20 stamattina!!! nooooooooo!!! quando la oregon ha suonato non riuscivo a realizzare perchè l’avessi puntata... perchè mi dovevo svegliare.. me lo sentivo che era qualcosa di importante, però!!!
beh ha già votato un casino di gente.. sinceramente non credevo.. pensavo ad un’astensione di massa! e invece...
prima sono stata ingaggiata pure per andare a prendere la colazione.. da mazzariiiiiiiiii!!! wow che bbbuone le brioches!!! e così ho fatto il mio viaggetto con cappuccini da portare via e mille croissant rigorosamente deposti sul termosifone del seggio per mantenersi fragranti.. che giusta che sono!!!
il presidente di seggio ha soprannominato il vecchio "caso umano" e il comunale "bagigio"... uhhhhh fly.. sono proprio un caso disperato.. soprattutto da quando caso umano ha confessato di essere lui stesso il creatore delle sue barzellette!!! mammamammamamma sarà un pomeriggio lunghissimooo!!!
vabbuò vado a pappare che alle due devo ripresenziareee!
che sonnooooooooooooo!!!
bello il funkytown ieri!!!


COMMENTA (0 commenti presenti) - PERMALINK



sabato 12 aprile 2008 - ore 19:40


PRE-ELECTION DAY
(categoria: " Vita Quotidiana ")


appena tornata dai seggi... io sono allucinata!!! dai miei colleghi scrutinatori.. c’è un vecchio che è completamente andato... ha passato il pomeriggio a raccontare barzellette idiote e a fare domande assurde al presidente di seggio.. tipo.. "ma se uno è ammalato e non può venire a votare, però ha il certificato medico, cosa deve fare?" ...sta a casa??????? ma che domanda è??? mica deve portare la giustificazioneee!!! mi aspettavo da un momento all’altro "maaa.. può votare uno con i nei???"
cmq la cosa tragica è che abita vicino a casa mia (e io non l’avevo mai visto) e dato che non ha la patente, e che per arrivare al seggio deve prendere due autobus, ..........mi ha chiesto se domani sera gli do uno strappo a casaaaaaaaa!!! aaaaaaaaaah!!! ma è completamente fuoriiii ed è enormeeee non ci starà mai nella fiestinaaaa e poi aaaaaaaaaaaaah ma io mi cago addossooooo!!! guiderò come shumacker! in due minuti sarà già a letto!!! mio dio.. se non mi sentite più voi siete testimoni, eh!!!
poi una non si è presentata quindi ci hanno mandato un sostituto dal comune.. un altro che capisce fischi per fiaschi!!! ahhh signur..

in più!!!
il presidente: "va bene domani mattina alle 8 non serve che veniate tutti... facciamo i turni"
il vecchio: "io devo prendere due autobus.. preferirei venire un po’ più tardi..."
il comunale: "io lavoro fino a mezzanotte stasera.. vorrei dormire un po’.."
...pape: "beh.. io vorrei andare a ballare stasera!!!"
cosa che ha destato l’ilarità generale... io dicevo seriamenteee!!!
morale della favola domani alle otto pape al seggio!!! ufff!!!

va bin.. termino dicendo che dopo la mia balla da zibibbo di ieri.. finito il pranzo del nonno è sbucata fuori una bottiglia di zibibboooo!!! ancoraaaa!!! aaaaaaaaaaah!!! ovviamente ne ho bevuto due bicchierini eheheh!

LEGGI I COMMENTI (7) - PERMALINK



sabato 12 aprile 2008 - ore 10:23



(categoria: " Vita Quotidiana ")


miiiii! ieri alla fine sono andata a letto alle quattro per finire gli aggiornamenti al computer.. ora.. che faccio sveglia alle 9:45??? lo so io cosa faccio sveglia!!! è da mezzora che passa il lavastrade sotto la mia finestra!!! ma scusate.. è una settimana che piove, non c’è nemmeno una briciola per terra perchè ormai si è decomposto pure l’asfalto... e questo qui viene a pulire cosa??? che tra l’altro tra cinque minuti arriva un altro "scaravasso"!!!
tra qualche ora devo pure andare al mitticccoooo PICNIC DEL NONNO!!! doveva essere in giardino.. ma mio nonno ha più colpo d’occhio del lavastrade quindi festeggerà in casa il suo compleanno..
e poi... seggi!!! ronfff...

E-LEZIONI


COMMENTA (0 commenti presenti) - PERMALINK



venerdì 11 aprile 2008 - ore 16:11


MAC
(categoria: " Vita Quotidiana ")


MACMACMACMACMACMACMACMAC MACMACMACMACMACMACMACMAC MACMACMACMACMACMACMACMAC MACMACMACMACMACMACMACMAC MACMACMACMACMACMACMACMAC MACMACMACMACMACMACMACMAC MACMACMACMACMACMACMACMAC MACMACMACMACMACMACMACMAC MACMACMACMACMACMACMACMAC MACMACMACMACMACMACMACMAC


LEGGI I COMMENTI (7) - PERMALINK



mercoledì 9 aprile 2008 - ore 16:12


TODAY!
(categoria: " Vita Quotidiana ")


come predetto.. ho taccheggiato allo Sheraton!!! non nel senso che sono andata in giro a derubare gli ospiti dell’hotel, ma in quello che ho gironzolato coi tacchi per i pavimenti finto-mattonella-di-moquette del centro congressi!!! yooo! e ho pranzato con un senatore che pur di marpioneggiare ha imbrattato la supermegatovaglia sheratonosa di vino rosso!!! però era simpatico, dai.. alla parola "senatore" mi aspettavo un vecchiaccio ringobbito invece sembrava un mio coetaneo quasi!!! sarà merito della tinta ai capelli! e poi chi lo sapeva che i politici vanno a fare campagna elettorale nelle discoteche??? cioè.. entro in politica pure io a sto punto! "Rialzati, Pape!"

va bin va bin.. basta cazzate.. che fortunaaaaa! piove! posso studiare senza rimpianti.. ahhhhhhh!

LEGGI I COMMENTI (10) - PERMALINK



lunedì 7 aprile 2008 - ore 10:43


HO DETTO "CERCA"!!!
(categoria: " Vita Quotidiana ")


pape cerca di promettere solennemente che da oggi, fino al giorno dell’esame:

1- non uscirà più
2- non festeggerà più
3- non berrà più melonbull
4- penserà sempre solo ed esclusivamente alla matematica (e a beautiful, 100vetrine e tempesta d’amore)
5- si impegnerà tantissimo per non andare all’iris a giocare a calcetto
6- e dato che si è sentita in colpa per le nuvole di ieri, non augurerà più al resto del mondo che piova perchè lei non può uscire di casa!!!

siete cortesemente invitati a non indurla in tentazione..

LEGGI I COMMENTI (9) - PERMALINK



sabato 5 aprile 2008 - ore 15:42


SCRICCIO
(categoria: " Vita Quotidiana ")


...notate qualche differenza???



uahaah! ma quanto sono fiera del mio scricciolottooo!!! che ha iniziato finalmente a capicollare per la pistaaa!!! con la sua tuta funkeggiante e il fungo in testa!!! daiii!!! facci i pois rossiii!!




LEGGI I COMMENTI (3) - PERMALINK



mercoledì 2 aprile 2008 - ore 12:25


L’ABITO NON FA IL MONACO
(categoria: " Vita Quotidiana ")


che figooooo!!! sono appena stata allo Sheraton per prenotare una sala congressi... ma daiii!!! ho appena realizzato che abitandoci quasi a fianco non mi capiterà mai di andarci.. uffi uffi è bellissimo!!! uscendo ho anche provato a perdermi per fare un giro furtivo di curiosamento, ma mi è stata gentilmente indicata l’uscita!!!
cmq! dico io! che mi si avverta che devo andare a fare la figa allo Sheratooon!!! minimo partivo in tacchi e tailleur della kitri (perchè io non ce l’ho!) ..no in jeans strappati e piumino che semina piume a tutto spiano!!!

LEGGI I COMMENTI (17) - PERMALINK



martedì 1 aprile 2008 - ore 22:18


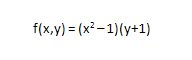
TIRATE FUORI IL MATEMATICO CHE E’ IN VOI!!!
(categoria: " Vita Quotidiana ")


dunque.. la funzione a due variabili è:



..qualcuno mi sa dire se i punti stazionari sono (-1,-1) e (1,-1) e se sono tutti e due punti di sella???
PLEAAAASE!!! venerdì devo consegnare gli esercizi.. iutème!!!

LEGGI I COMMENTI (15) - PERMALINK




> > > MESSAGGI PRECEDENTI
APRILE 2026
<--Prec.     Succ.-->
Do Lu Ma Me Gi Ve Sa
      1 2 3 4
5 6 7 8 9 10 11
12 13 14 15 16 17 18
19 20 21 22 23 24 25
26 27 28 29 30


Solo in questo BLOG
in tutti i BLOG


BLOG che SEGUO:


nenetta phelt atreiu dionigi knippo angelodinome lololu pecchia chimivuole nordico volstagg logx lamalvagia barbie11 sklara33 albe 84 momo albicocca ceres nookie lisaè legolas84 cialala kitri CIU _mk_ AFInside81 sammyz sid janee Euridice dark fly matan PND bipop sutterkane zilvio


BOOKMARKS


Nessun link inserito: Invita l'utente a segnalare i suoi siti preferiti!


UTENTI ONLINE: