BLOG MENU:


ghirotta, -- anni
spritzina di ..un mondo surreale..
CHE FACCIO? ...incazzata col mondo!
Sono middle

[ SONO OFFLINE ]
[ PROFILONE ]
[ SCRIVIMI ]


STO LEGGENDO

.. manuale LATEX!! =D

HO VISTO

2007: Berlino, Potsdam, Salisburgo, Marsa Alam, Sorrento
2008: cima Ekar-Asiago, Roma, Napoli, Innsbruck-Vienna, Bastia e dintorni ... Innsbruck-Fussen-Romantikestrasse-Rothenburg-Monaco+Oktoberfest-Deutsche Alpenstrasse-Salisburgo, Sesto, San Candido, Dobbiaco e Brunico!
2009: Asiago, cima Ekar, Bassano del Grappa, Leiden, Amsterdam,
[.......]
2011: Toronto (Canada), La Palma e Tenerife (Canarie), Stoccolma!

STO ASCOLTANDO

...musica!?!? subsonica e jason mraz.. I’m yours!!
..NEGRITAAAAAAAA!! HELLDORADO!!


ABBIGLIAMENTO del GIORNO

...random come al solito...e stropicciato...che sto anno và...perchè l’ho deciso io!!!


ORA VORREI TANTO...

..ferie.. si si.. decisamente.. FERIE!!

STO STUDIANDO...

.. come dottorarsi e conquistare il mondo cambiando lavoro!! =D

OGGI IL MIO UMORE E'...

.. misto!!

ORA VORREI TANTO...



ORA VORREI TANTO...



ORA VORREI TANTO...







PARANOIE


Nessuna scelta effettuata

MERAVIGLIE


Nessuna scelta effettuata






(questo BLOG è stato visitato 11323 volte)
ULTIMI 10 VISITATORI: ospite, ospite, ospite, ospite, ospite, ospite, ospite, ospite, ospite, ospite
[ ELENCO ULTIMI COMMENTI RICEVUTI ]





giovedì 24 novembre 2005 - ore 14:45


...parolacce...
(categoria: " Vita Quotidiana ")



It has been brought to our attention by several officials visiting our establishment in Rome that offensive
language is commonly used by our Italian speaking staff. Such behaviour, in addition to violating our
policy, is highly unprofessional and offensive to both visitors and staff. All personnel will immediately
adhere to the following rules:
1. Words like cazzo, porca puttana or mi sono rotto il cazzo and other such expressions will not be
tolerated or used for emphasis or dramatic effect, no matter how heated a discussion may become.
2. You will not say ha fatto una cazzata when someone makes a mistake, or se lo stanno inculando if you
see someone being reprimended, or che stronzata when a major mistake has been made. All forms and
derivations of the verb cagare are utterly inappropriate and unacceptable in our environment.
3. No project manager, section head or administrator under any circumstances will be referred as figlio di
puttana, coglione, testa di cazzo.

4. Lack of determination will not be referred to as mancanza di palle nor will persons who lack initiative
be referred to as bradipo or cagone.
5. Unusual or creative ideas offered by the management are not to be referred as cagate mentali or idee
del cazzo.

6. Do not say come rompe le palle nor ha rotto i coglioni if a person is persistent; do not add gli fa ancora
male il culo
if a colleague is going through a difficult situation. Furthermore, you must not say siamo
nella merda (refer to item # 2) nor ci hanno aperti
when a matter becomes excessively complicated.
7. When asking a someone to leave you alone,you must not say vattene affanculo nor should you ever
substitute May I help you? With che cazzo vuoi?
8. Under no circumstances should you ever call your elderly industrial partners vecchi stronzi.
9. Do not say me ne sbatto when a relevant project is presented to you, nor should you ever answer
ciucciami il cazzo when your assistance is required.
10. You should never call partners as frocio or mignotta; the sexual behavior of our staff is not to be
discussed in terms such as culattone or bagascia.
11. Last but not least, after reading a note please don’t say mi ci pulisco il culo. Just keep it clean and
dispose of it properly.
Thank you.
Regards,




...beh...sono regole di vita!!!o no?!?!

con tanto di indirizzo!!!

COMMENTA (0 commenti presenti) - PERMALINK



giovedì 24 novembre 2005 - ore 11:15


...oggi sono tre mesi!!!
(categoria: " Vita Quotidiana ")



...diciamolo a bassa voce...visto che in tre mesi siamo riusciti a lasciarci tre volte...una buona media no?!?!

LEGGI I COMMENTI (4) - PERMALINK



mercoledì 23 novembre 2005 - ore 17:04


...oggi ha l’esposizione di laurea la...
(categoria: " Vita Quotidiana ")




siiiiiiii sbrisaaaaaa!!!

...venerdì preparati alla proclamazione...e ricordati che la giornata finisce alla mezzanotte!!!


sbrysa sms delle 22:05:34
benone grazie,da domani fai di me ciò che vuoi! ghe sb... go finiooooooooo!sensazionestupenda.... a domani, e... grazie vecchia!baci!


COMMENTA (0 commenti presenti) - PERMALINK



martedì 22 novembre 2005 - ore 23:38


...ma anche la sera post allenamento!!!
(categoria: " Vita Quotidiana ")






...scusate...è stupenda...è stato più forte di me!!!


...te lo gonfio!?!??!

...ringraziamo mauro per essersi prestato a farci compagnia da cisalfa...altrimenti il commesso...non ce l’avrebbe mai gonfiato!!!



LEGGI I COMMENTI (4) - PERMALINK



martedì 22 novembre 2005 - ore 11:55


...eeeee già!!!
(categoria: " Scienza e Tecnica ")







LEGGI I COMMENTI (8) - PERMALINK



martedì 22 novembre 2005 - ore 00:26


...so drio ’ndar via mata!!!
(categoria: " Università / Scuola ")



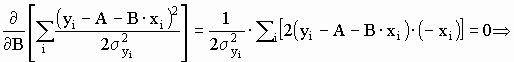
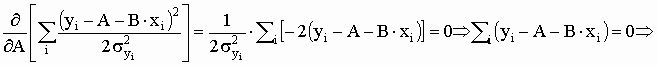
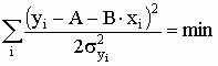
Metodo dei minimi quadrati

Siano y1, y2, ....yN i valori di una grandezza y (linearmente dipendente dalla grandezza x) ottenuti in corrispondenza dei valori x1, x2, ....xN.

Si cerca l’equazione della retta che meglio approssima i punti sperimentali:

y = A + B . x

Se A e B fossero noti, per ogni xi yic (se sxi = 0). (yic = valore "vero" di yi)

Se yi è affetto da soli errori casuali, la sua misura si distribuisce attorno a yic

La probabilità che la misura fornisca yi sarà:

La probabilità di avere il set di misure y1, y2, ....yN sarà:

Nell’ipotesi che s1 = s2 = ....sN = sy:

Per il principio di massima verosimiglianza, = max se

La condizione di minimo è soddisfatta se:

Dalla prima condizione si ha:


(¤)
Dalla seconda condizione si ha:



(¤¤)
Risolvendo il sistema ¤ e (¤¤):


----------------------------------------------------------------------

Generalizzazione del metodo dei minimi quadrati

Esempi di relazioni funzionali che possono essere linearizzate mediante semplici artifici:





LEGGI I COMMENTI (6) - PERMALINK



lunedì 21 novembre 2005 - ore 10:51


...visto ieri...
(categoria: " Cinema ")





nooooooooooooooo...lui è darth feder...nooooooooooooooooo!!!


n.b. finalmente l’esame è fissato!!!30 novembre ore 11.00 a.m. !!!

LEGGI I COMMENTI (11) - PERMALINK



domenica 20 novembre 2005 - ore 14:46


...non dico altro...
(categoria: " Vita Quotidiana ")


...176...

LEGGI I COMMENTI (8) - PERMALINK



venerdì 18 novembre 2005 - ore 10:44


...ma va cagare va...
(categoria: " Sport ")



ART. 9 UTILIZZO DEI GIOCATORI

Le Società Sportive possono tesserare un numero illimitato di giocatori, ma se partecipanti al Campionato con più squadre, iscritte alla stessa categoria, NON POSSONO scambiarsi i giocatori. Gli atleti rimangono vincolati alla squadra con la quale hanno disputano la prima gara.
A tal fine le Società devono consegnare alla Commissione Tecnica Provinciale prima dell’inizio del campionato, l’elenco dei giocatori suddivisi per squadra denominato “Lista dei giocatori”. In seguito, in caso di ulteriori tesseramenti, la società dovrà consegnare ogni volta il modulo “Integrazione lista giocatori” nel quale indicherà il nome del giocatore, la società di appartenenza e la squadra nel quale lo stesso deve essere inserito.
L’inadempienza alle predette norme comporterà delle penalizzazioni che potranno arrivare fino alla perdita della gara nonché sanzioni disciplinari del caso a carico del giocatore e della società.

Per quanto riguarda la categoria misto, per i campionati nella sola fase provinciale in ogni momento della gara devono essere presenti in campo almeno 2 atlete (F) ed almeno 2 atleti (M).

...ma kekazzo di misto è con due sole donne in campo!??!

LEGGI I COMMENTI (3) - PERMALINK



giovedì 17 novembre 2005 - ore 14:28


...sono inkazzata...
(categoria: " Vita Quotidiana ")


....................................


  • ...non trovo uno stracazzo di lavoretto...

  • ...ho litigato con la mamy e illo non può venire da me...

  • ...non ho le relazioni di lab perchè il mio compagno domani torna a casa...

  • ...l’esame è spostato a fra 2 settimane perchè il prof sparisce...

  • ...e per di più stasera abbiamo perso la partita...


...e che qualcuno provi a dirmi che potrebbe essere peggio...


........... ...........
Attila. A come atrocità, doppia T come terremoto e traggedia, I come ir’ di Dio, L come lago di sangue, e A come adesso vengo e ti sfascio le corna!!!


LEGGI I COMMENTI (3) - PERMALINK




> > > MESSAGGI PRECEDENTI
APRILE 2026
<--Prec.     Succ.-->
Do Lu Ma Me Gi Ve Sa
      1 2 3 4
5 6 7 8 9 10 11
12 13 14 15 16 17 18
19 20 21 22 23 24 25
26 27 28 29 30


Solo in questo BLOG
in tutti i BLOG


BLOG che SEGUO:



minife
febe
ueikap
torotoro!


emmevì
sputnik
jidhmah


air23
thesnaker
mrqs
chaeni
cspaak
matteo78
tomming

BOOKMARKS


...ABQUALCOSA!!!
(da Sport / Pallavolo )



UTENTI ONLINE: